Cdot Careers Math
Als malzeichen multiplikationszeichen oder produktsymbole werden verschiedene sonderzeichen bezeichnet die vor allem zur darstellung des mathematischen operators für die multiplikation verwendet werden.

Cdot careers math. Before moving to the career options that do not require math or science let s have a look at the careers that require pcb pcm or mathematics in class 12 10 2 level. All cdot employees work together to ensure that colorado has a safe and efficient transportation system. However you must have pcm in class 12 in order to pursue the above career paths. We offer many opportunities in the field of.
These are the current cdot job opportunities. A free inside look at company reviews and salaries posted anonymously by employees. Falls sie also kein spezielles interesse an der darstellung mathematischer formeln oder texte unter latex haben sich aber trotzdem mit latex beschäftigen wollen oder müssen ist vielleicht ein anderer buchband des latex kompendium wie etwa der. Career paths application selection process benefits life cdot contact us cdot job openings.
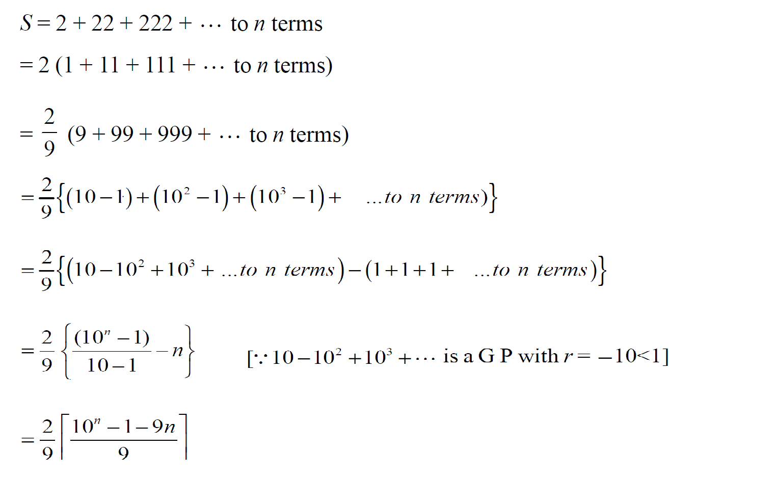
Ask question asked 8 years 10 months ago. S ellison s ellison. Come join our team. Displaystyle 1 pm3 cdot 5 quad wird geschrieben als math 1 pm 3 cdot 5 math displaystyle tfrac 1 2 y ne x le z quad wird geschrieben als math frac 1 2 y ne x le z math displaystyle 2 13 sqrt 3 ln y quad wird geschrieben als math 2 13 sqrt 3 ln y math displaystyle tan 30 circ quad wird geschrieben als math tan 30 circ math b kompliziertere ausdrücke.
Here is just a sampling of some of the career paths we offer. Share improve this answer follow answered sep 1 18 at 0 14. Don t assume these are the only career options after 12th if you have pcm combination. Apply to flagger program officer transit manager and more.
Cdot offers meaningful careers promotional opportunities professional development competitive pay great benefits and statewide locations. 11 1 1 bronze badge. When should cdot be used to indicate multiplication. Likewise if you aspire to pursue a career in medicine.











